数学講座
スポット講座
Sスタンダード
アーカイブ講座(録画販売中)
ベクトル解析と電磁気学をいっぺんにマスターしよう!
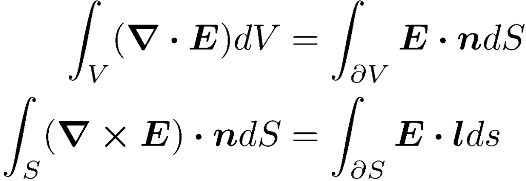
ベクトル解析には、 grad(勾配)、div(発散)、rot(回転)といった概念や、それらの積分に関係するガウスの定理・ストークスの定理といった重要な定理が登場します。
電磁気学は上記を学ぶ題材として非常に適しており、
定理の持つ物理的意味を通じて、より明快に理解することができます。
そこで、電磁気を題材とすることで、ベクトル解析の主要部と電磁気学の入門的部分をいっぺんに習得できてしまう、ちょっと欲張りでおトクな講座を準備しました。
物理の数理的側面に興味のある方、また数学の物理へのダイレクトな応用に興味のある方におすすめの講座です。
※アーカイブ講座の動画販売についてお申し込み受付中です。
多変数関数の微積を学んだ方向けに、ベクトル解析の主要部と電磁気学の入門的部分を習得していただく講座です。
ベクトル場という概念を知るうえで、電場・磁場は最適な題材です。これらを扱うことで、grad(勾配)、div(発散)、rot(回転)といった概念や、それらに関係するガウスの定理・ストークスの定理といった主要定理を、その意味や成り立ちとともに、より豊かなイメージをもって理解できるようになります。
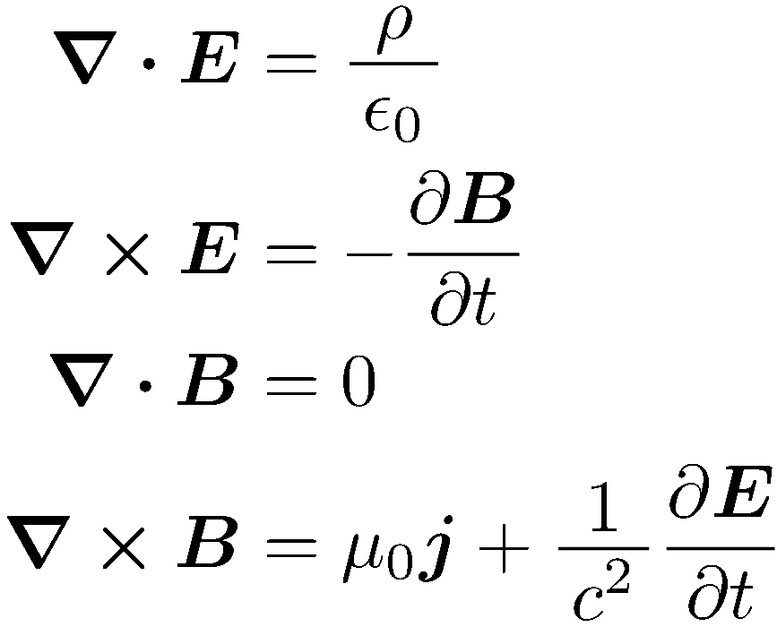
さらに、電磁気学の入門的部分も理解できることでしょう。電磁気学の基礎方程式であるマックスウェル方程式は、ベクトル解析によって記述されていますが、それが何を意味しているか、どんな物理的意味をもつのかまで見通せるようになります。
教科書
- 書名
すうがくぶんかのオリジナルテキスト(PDF形式)
- 送付方法
授業前日までにメール添付でご送付いたします
※ テキスト代は受講料に含まれています。
講義の目標
- 電場・磁場の概念を理解する
- grad, div, rot の概念を物理的意味に関連付けて理解する
- ガウスの定理・ストークスの定理を理解する
- grad, div, rot の間の恒等式から、電場・磁場の元になる電位ポテンシャル φ や ベクトルポテンシャル A が出てくることを理解する
- ベクトル解析で表現された法則から、簡単な場合に電場・磁場が導けるようになる
前提とする知識
- 高校数学程度の空間ベクトルの知識(和・差・実数倍、成分、内積)
- 多変数関数の微分・積分
- 中学・高校物理程度の力学・電磁気の初歩(ベクトルとしての力、電荷の概念、クーロン力の逆2乗則、磁力の概念)
- 内積の復習
- 外積の紹介
- 電場・磁場の導入(クーロン力、ローレンツ力)
- grad, div, rot の定義
- grad, div, rot の合成
- 線積分
- ガウスの定理
- ベクトル場の循環・ストークスの定理
- 渦なしの場と湧き出しなしの場
- クーロンの法則・重ね合わせの法則
- 電位
- 誘導電流
- ベクトルポテンシャル
- 光速で伝わる電磁場
| 講座名 |
ベクトル解析と電磁気学 |
| 担当講師 |
|
| 開講スケジュール |
日曜クラス : 10:00-12:00
2025年12月14日~2026年02月01日
2025年12月14日, 12月21日, 2026年01月11日,01月18日,01月25日, 02月01日
2025年12月28日, 2026年01月04日 は休講です。
|
| 受講方法 |
Zoomによるオンライン講座
授業は録画されます。録画(アーカイブ動画)は授業終了から5年間オンラインにて繰り返しご視聴いただけます。(ダウンロード不可)
アーカイブ動画の視聴のみの受講も可能です。
詳細はこちらのページをご確認ください。
|
| 教科書 |
すうがくぶんかのオリジナルテキスト
※ テキスト代は受講料に含まれています。
|
| 受講料 |
全6回 29,500円(税込)
|
| お支払い方法 |
クレジットカード支払いは本ページ下部「受講料のお支払いについて」よりお願いいたします。
本講座を初めて受講される場合は お申し込みフォームよりお申し込みください。
事務局より受講のご案内とお支払い方法の詳細をお知らせいたします。
※ お申し込み前にお支払いいただいた場合は、確認やご案内にお時間をいただくことがあります。
|
| 準備物 |
特にありません。
|
Message
講師からのメッセージ
私が初めて電磁気学に本格的に触れた本は、「ファインマン物理学」でした。その時はまだ数学でベクトル解析には触れていなかったのですが、物理的イメージが明確な電場・磁場を題材とした説明で、ガウスの定理・ストークスの定理がスムーズに理解でき、その物理的意味や電磁気の問題への応用も大変よくわかりました。その時の経験を、皆さまにも味わっていただければと思います。ベクトル解析の主要部と電磁気学の入門的部分を、ぜひ一緒にマスターしていきましょう!
井汲 景太
受講料のお支払いについて
Payment options
ベクトル解析と電磁気学 講座のクレジットカード決済フォームです。(決済には
Stripeというサービスを使っています。)
下記のボタンを押すと該当する集団講座のチケットをご購入いただけます。
- 消費税については内税(10%)です。
- 全てのチケットの有効期限はご購入日より1年となっていますのでご注意ください。
※ボタンを押すと、stripeの決済ページへ遷移します。
※はじめて本講座をご受講いただく方はこちらのお申し込み・お問い合わせフォームよりご連絡ください。事務局より受講に関するご案内やお支払い方法の詳細をお知らせいたします。
アーカイブ講座の動画販売
Archive video
2020年前期分よりオンライン授業を録画し、授業の録画販売(アーカイブ販売)を行っております。
開講時と同じ受講料
お気に入りの講師の
過去の講義も購入できます。
Slackにて質問できます
アーカイブ録画の場合も、
質問等は受け付けます。
注意事項
アーカイブ講座の動画購入をご検討いただく場合は、下記についてご確認をお願いいたします。
お申し込み時にご登録いただいたメールアドレス宛に、講義の録画を共有させていただきます。
※Googleドライブ上のファイルを共有するため、gmailアドレス以外の場合は、共有フォルダにアクセスする際に、自動でメールに送られてくる確認コードの入力が必要になる場合がございます。
受講料は、開講時と同じ受講料となります。
動画の視聴期限は購入後、5年となっております。
講座内容に関するご質問等がある場合で、Slack以外でのご質問をご希望される場合はお問合わせください。(別途受講料が発生する個別指導での対応となる場合がございます。)
開講中講座の途中参加について
現在開講中および開講予定の講座はございません。
アーカイブ講座(録画購入)にてご受講いただけます。
アーカイブ講座(録画購入)をご希望の場合はこちらからお申込みください。
| 講座名 |
動画内容 |
講師名 |
受講料 |
ベクトル解析と電磁気学 2025年後期 |
全6回(各回120分) |
井汲 景太 |
29,500円/全6回(税込) |
| 年度 |
講座情報 |
| 2025年後期 | この講座は2025年後期のみ開講いたしました。
現在開講中及び開講予定の講座はございませんが、アーカイブ録画でのご受講が可能です。
|
アーカイブ講座(録画購入)のお申し込みはこちら